La leche de soja es una alternativa popular a la leche de vaca, especialmente entre personas con intolerancia a la lactosa o que siguen una dieta vegana. Conocer su información nutricional es fundamental para incorporarla de manera consciente en nuestra alimentación.
Componentes Clave de la Leche de Soja
La leche de soja contiene diversos componentes que contribuyen a su valor nutricional. A continuación, se detallan algunos de ellos:
- Aroma natural: Añade sabor y mejora la experiencia sensorial.
- Goma gellan: Es una goma vegetal en forma de polisacárido soluble en agua que se obtiene de la fermentación aeróbica de la glucosa mediante la bacteria Sphingomonas elodea. Es empleada por la industria alimentaria con la codificación E 418.
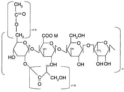
Goma Gellan: Un Espesante Natural
La estructura molecular de esta goma es en forma de molécula lineal compuesta por uniones de monómeros como la glucosa, ácido glucurónico y la ramnosa -proporción 2:1:1-.
Estructura Molecular de la Goma Gellan
Consideraciones Importantes
Es importante tener en cuenta ciertos aspectos al consumir leche de soja:
Lea también: Beneficios de la leche de vaca
- Un alto consumo de azúcar puede causar aumento de peso y caries.
- Los edulcorantes no nutritivos pueden no aportar ningún beneficio a largo plazo en la reducción de la grasa corporal en adultos o niños.
Los edulcorantes no nutritivos pueden no aportar ningún beneficio a largo plazo en la reducción de la grasa corporal en adultos o niños. Un alto consumo de azúcar puede causar aumento de peso y caries.
Green-Score
El Green-Score se desarrolló inicialmente para Francia y se está ampliando a otros países europeos.
SÚPER AYUDA #252 Beneficios Y Daños De La Soya
Información Adicional
Ten en cuenta que algunos alimentos pueden no ser adecuados para algunas personas y que se recomienda buscar asesoramía médica antes de comenzar cualquier esfuerzo por perder peso o un régimen dietético. Aunque la información proporcionada se presenta de buena fe y se cree que es correcta, no se ofrece garantía en cuanto a su integridad o exactitud, y toda la información, incluidos los valores nutricionales, es utilizada bajo su propio riesgo.
Si la información no coincide con la información del envase, puedes completarla o corregirla.
Lea también: Análisis Nutricional: Leche Semidescremada
Lea también: Leche Cultivada: Calorías y Nutrientes
tags: #Caloria
